Accueil/Ressources / CSTM Blog / Do you want to ... know more about lectins?

Do you want to ... know more about lectins?

When I was working on my last blog earlier this year, I was asked about how lectins work and why are there occasional phenotyping discrepancies between human and monoclonal reagents. My immediate reaction was: I know nothing about this!

Soon thereafter, we started to travel in Asia and now I have some down time in my mother’s home here in Melbourne to review this topic under my heading of: ☺

                                                           Do you want to….                                                    
                                                      know more about lectins?  
                                
Since the 1880’s, it has been demonstrated that extracts from certain plants or seeds from plants could agglutinate red blood cells. In the late 1940’s, agglutinins were discovered which could “select” types of cells based on their blood group activities. In 1951, GWG Bird first reported the use of A1 lectin extracted from Dolichos biflorus could differentiate A1 from group A red cells.

 Although “lectin” was originally coined to define agglutinins that could discriminate among types of red blood cells, today the term is used more generally and includes sugar-binding proteins from many sources regardless of their ability to agglutinate cells.

Although less frequently used other than as phenotyping reagents in today’s blood banks, lectins are useful in evaluating a rare phenomenon called polyagglutination, a problem of red cells that are clumped by almost all adult sera but not by autologous or cord sera, a condition sometimes seen in patients with septicemia and necrotizing enterocolitis.

Polyagglutination must be differentiated from panagglutination in which a serum or plasma sample clumps almost all normal red cells.

Lectins are multimeric proteins, consisting of non-covalently associated subunits. Because of their high affinity to sugar molecules, it becomes a “glycoprotein” in nature. The multimeric structure gives lectins their ability to agglutinate cells or form precipitates with glycoconjugates in a manner similar to antigen-antibody interactions. This unique group of proteins has provided researchers with powerful tools to explore a myriad of biological structures and processes. Because of the specificity that each lectin has toward a particular carbohydrate structure, even oligosaccharides with identical sugar compositions can be distinguished or separated. The affinity between a lectin and its receptor may vary a great deal due to small changes in the carbohydrate structure of the receptor. These properties enable the researcher to discriminate between structures, isolate a specific glycoconjugate, cell or virus from a mixture, or study one process among several. Another property of some lectins is an ability to induce mitosis in cells that are normally not dividing. This property has been exploited extensively in an attempt to understand the process of blastogenesis in lymphocytes and the biochemical and structural alterations associated with mitogenesis. The pokeweed mitogen, concanevalin A,  has been extensively used in immunology.

Discrepant phenotyping results of lectin, human and monoclonal antisera have been noticed but yet to be investigated. If you have experience in this area, please share with us. As far as how lectins work, I couldn’t find a good explanation for lectins conferring specificities; I would appreciate if my fellow blood bankers can give me one. My guess is that when a lectin is appropriately diluted, the quarternary structure of lectin’s multimeric subunits would attract the charged amino or hydroxyl group of the sugar molecule electrostatically. That is, “the strongest contact point” equivalent to antigen’s epitope, the predominant non-covalent bonding would be hydrogen and electrostatic forces that are exothermic, thus agglutination is better detected by “immediate spin”.

                                    Classification of T Polyagglutination by lectins*

Lectin / reagent                     T      Th      Tk      Tx      Tn
Arachis hypogea*                 +       +        +        +         –
Glycine soja*                        +       –         –        –        +
Vicia cretica                          +       +        –         –        –
Medicago disciformis           +       +        –         –        –
Salvia sclarea*                      –       –        –         –        +
Salvia horminum                   –       –        –         –        +
Bandeiraea simplicifolia II     –        –        +        –        –
Vicia hyrcanica                      +       +        +         ?       –
Cord Serum                            –       –        –         –       –
Polybrene                               –        ?        +         –      –
Papain & A hypogaea            +        –        +         +      –

* lectin is a component of the Gamma Lectin System (Gamma Biologicals Inc.)
+ denotes agglutination occurs
++ denotes increased agglutination compared with untreated cells
Clinical Aspects of T activation can be found with the following link:
*http://hospital.blood.co.uk/media/2178/f62ef923-2fa0-4bea-82c1-c43989b7e111.pdf


For colleagues who are not familiar with this topic, the following is a brief review:

There are three proposed mechanisms of red cell polyagglutination:

A. Acquired
  1. Modification of red cell membrane by bacterial or viral enzymes to expose the latent, cryptic or hidden antigens to which antibodies are present in normal sera.
  2. Somatic mutation of some progenitor cells results in an incomplete biosynthesis of normal tetrasaccharide side chains of glycophorins.
B. Hereditary
  1. Hereditary pathogenic and non-pathogenic characters associated with red cell membrane itself or antigenic expressions on the red cell membrane.

Acquired Red Cell Polyagglutination

Microbial
  • Enzyme-induced:  T, Tk, Th and Tx (polyagglutinable red cells agglutinated by peanut lectin), VA and Acquired B
  • Passive adsorption:  Acquired B
Somatic Mutation: Tn


T Polyagglutination (The Hübener -Thomsen-Friedenreich phenomenon)

Hübener 1925; Thomsen and Friedensreich 1930

Mechanism: Exposure of the T receptor by viral or bacterial neuraminidase.  This can take place both in vivo and in vitro.

Exposure of the T Receptor

 









Known microorganisms are E. coli, Vibrio cholerae, Clostridium perfringens, Pneumococcus pneumonia, Pseudomonas aeruginosa and influenza virus.

Characteristics
  1. T activated red cells are recognized by anti-T which is present in all normal sera. Anti-T is an IgM cold agglutinin reactive in the ABO forward grouping using human but not in monoclonal antisera and at the immediate spin phase of a crossmatch.

  2. Anti-T is storage labile; therefore it is absent or at low level in stored antisera.  Being an IgM antibody, anti-T is also absent in cord sera.

  3. Blood banks in developed countries seldom encounter T activation as monoclonal antisera do not contain anti-T.

  4. Most patients with T or other forms of polyagglutination are not recognized unless they require testing performed in the blood bank.

  5. Exposure of the T antigen is the result of bacterial or viral neuraminidase which cleaves sialic acid residues from the glycophorins giving T activated red cells a less negative net charge.  Agglutinability is diminished or absent when these red cells are suspended in a polycation solutions such as polybrene, protamine sulphate or poly-l-lysine.

  6. Lectins are glycoproteins from plants capable of detecting red cell carbohydrate antigens. They are used to differentiate various forms of polyagglutination. T receptor is recognized by peanut lectin (Arachis hypogea), as well as a lectin extracted from soya beans (Glycine soja).

  7. Protectin from Helix pomatia (a snail) contains both anti-A and anti-T activities.

  8. Hemolytic anemias have been reported in children with T polyagglutination due to plasma transfusion, and in fulminant necrotizing enterocolitis due to Clostridium perfringens.

  9. In atypical hemolytic uremic syndrome, T activation has been shown to cause hemolytic anemia, thrombocytopenia and renal impairment.

Tk Polyagglutination

Bird and Wingham 1972

Mechanism: Exposure of the Tk receptor on the red cell sialoglycosphingolipid (P.S. type II).
 








Bacteroides fragilis, E. coli, Serratia marcescens and Aspergillus niger.  In in vitro experiments, both exo and endo beta galactosidases have been successfully used to expose Tk from the I blood group reactive substance.

Characteristics
  1. The immunodominant sugar for Tk polyagglutination is N-acetyl glucosamine (GluNac).

  2. Tk may be found concurrent with other forms of polyagglutination; e.g., T, VA and acquired B.

  3. Depressed expressions of Ii, H and A may be the result of a decreased availability of the precursor substance (P.S.II).

  4. The Tk receptor is recognized by lectins: Arachis hypogea and Bandeiraea simplicifolia II (GluNac specific).

Th Polyagglutination

Bird et al 1978

Mechanism: not yet understood, probably due to exposure of a cryptic antigen by bacterial enzyme.

Characteristics
  1. Th is named because this form of polyagglutination is recognized by anti-T. h denotes the reduced H expression of this form of polyagglutination.  Differentiation from other peanut lectin positive, polyagglutination is by yet another lectin called Vicia cretia.

  2. Th polyagglutination have been found in peritonitis and septicemia due to Bacteroides, Proteus, E. coli, etc.

  3. One case of Th polyagglutination was shown to cause increased hemolysis in a patient with PNH (J Clin Invest 96:201, 1995)

Tx Polyagglutination

Bird 1982

Mechanism: not known, probably similar to other "T" related polyagglutinable states.

Characteristics
  1. Tx red cells can be agglutinated by anti-T only.

  2. Tx have been associated with pneumococcal infection in children.

Acquired B

Cameron 1959

Mechanism: deacetylation of A antigen to form a B-liked antigen which cross-reacts with anti-B

Deacetylation of A Antigen
 










Characteristics
  1. Group A patients with cancer of the colon or other parts of the GI tract, and various infections may have acquired B.

  2. Forward ABO grouping indicates a weak reaction with anti-B and strong reaction with anti-A while the reverse grouping shows anti-B in patient serum only.  The A antigen activity often decreases with a concomitant increase in the acquired B activity.

  3. Differentiation of acquired B and true B:
Acquired B True B
        Anti-B at pH 6.5 wk/neg 3+/4+
        Reacetylation Neg Pos
        Saliva inhibition Neg Pos for secretors
        Diluted anti-B Neg Pos


VA the polyagglutination identified in Vienna

Graningen 1977

Mechanism: unknown

Characteristics
  1. The first case was identified in Vienna from a 20-year-old male who had intermittent hemolytic episodes.  Other cases of VA-polyagglutination have been reported in patients also with Tk polyagglutination.

  2. H activity is depressed.

Passive adsorption: Acquired B

Mechanism: Bacterial lipopolysaccharide, e.g., E. coli O86 and Proteus vulgaris OX19 are structurally similar to B antigen. Adsorption of these bacteria during infection by patients' red cells may cause problems in ABO typing. Acquired B by the adsorption mechanism is noticeable in both group A and group O individuals.


Somatic mutation: Tn Polyagglutination

Moreau 1957

Mechanism: Tn polyagglutination does not link to any microbial origin. Similar to PNH, Tn is probably due to somatic mutation of certain progenitor stem cells causing a defective synthesis of beta-3-D-galactosyl transferase.

Tn Polyagglutination
 








Characteristics
  1. Mixed field agglutination (ABO forward grouping) is the hallmark for Tn polyagglutination.

  2. It is a rare observation if commercial human antisera are used.

  3. Like T activation, Tn polyagglutinable red cells have reduced sialic acid level. Therefore, Tn red cells are not agglutinated by polybrene.

  4. Unlike T activation, Tn red cells are not agglutinated by peanut anti-T.

  5. Tn is permanent, whereas other acquired polyagglutinable states are transient.

  6. Tn polyagglutination may be a pre-leukemic state (similar to PNH).  Other abnormal hematological findings include thrombocytopenia and leukopenia as platelets and white cells carry Tn.

  7. Tn receptors are recognized by lectins: Glycine soja, Helix pomatia, Vicia cretica, (Tn specific) and Salvia horminum.

  8. Tn polyagglutination can be abolished by treating red cells with papain.

Hereditary Polyagglutination: CAD HEMPAS and NOR



Hazel 1972

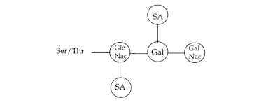
Mechanism:  Formation of a pentasaccharide (an additional GalNac to the terminal galactose of the tetrasaccharide) attached to the glycophorins. The strength of the “extra” reactions depends on the concentration of the external or serum factors and the antigenic expression of red cells.

Formation of a Pentasaccharide
 










Characteristics
  1. CAD polyagglutination was first observed in 1962 by Ikuta and Marakami in Japan that certain group O and group B cells were clumped by Dolichos biflorus, the anti-A1 lectin.  Subsequent investigation revealed that anti-A1 lectin also had anti-CAD.

  2. CAD is sometimes referred to as "super Sid". Although they share the same immunodominant sugar GalNac, the overall structures are quite different.

  3. Four types of CAD have been classified, only CAD 1 red cells are polyagglutinable.

  4. Anti-CAD is an IgM antibody present in all normal sera with a titre lower than anti-A and anti-B.

  5. CAD positive cells are recognized by lectins: Glycine soja, Salvia horminum, Dolichos biflorus and Helix promatia.

Four Types of CAD

                   Polyagglutinable        Lectin Anti-A1           Anti-CAD
CAD 1 + + 4+
CAD 2                 + 3+
CAD 3   2+
CAD 4  –                               1+


HEMPAS

Crookston and Crookston 1969

HEMPAS stands for hereditary erythroblastic multinuclearity with a positive acid serum test. HEMPAS red cells are polyagglutinable.  Some but not all normal sera have anti-HEMPAS.
 














Mechanism: The primary defect in HEMPAS is due to a deficiency of N-acetylaminylglucose transferase and/or alpha-mannose=idase II,  enzymes used to cover the HEMPAS antigen by glycosylating a normal membrane carbohydrate moiety known as lactosaminylglycan.  However, the relationship of N-acetylaminylglucose deficiency and multinuclearity is not clear.

Characteristics
  1. HEMPAS is inherited as an autosomal recessive trait. It is also classified as congenital dyserythropoietic anemia type II.

  2. Patients with HEMPAS have refractory anemia (not responding to treatment) and a hyperplastic marrow.

  3. Anti-HEMPAS is an IgM antibody found in normal sera but not in sera from patients with HEMPAS.

  4. HEMPAS red cells are sialic acid deficient, have reduced H expression and are recognized by Helix promatia and Glycine soja. Despite having more i antigens than cord red cells, HEMPAS red cells are more susceptible to the lytic action by anti-I than normal red cells.

  5. Both PNH and HEMPAS are detectable by a positive Ham's test (Dacie, Practical Hematology, 5th ed.:304-307); these red cells can be differentiated by:
 Ham’s Test
PNH HEMPAS
Anti-I bound Normal Increased or Normal
Anti-I bound Normal Increased
Complement bound per ab molecule   Normal Increased
Lysis in acidified serum                       All Some
Sucrose Lysis
(Dacie, Prac. Heme 5th ed. 309-310)  Pos Neg

NOR Polyagglutination

Discovered in NORfolk, Virginia
Harris 1979

Mechanism: Unknown. Anti-NOR can be neutralized by hydatid cyst fluid and P1 substance from pigeon eggs.

Characteristics
  1. NOR polyagglutination is probably inherited: five members of the family studied involved two generations have NOR polyagglutinable red cells.

  2. Anti-NOR is IgM and is enhanced by enzyme.

  3. The propositus had antibodies to other forms of polyagglutination.

  4. A specific lectin has not been discovered to detect NOR polyagglutination.

Differentiating different types of polyagglutination

Although the differentiation of various forms of polyagglutination is merely academic, rare encounter of these cases would certainly generate excitement (or frustrations!) among our colleagues. The flow chart below uses reagents found in most large hospital blood banks; definitive classification may require special reagents or service from a reference laboratory.

Reagents

Glycine soja -  agglutinates red cells that are sialic acid (Anti-T,-Tn,-Cad) deficient, homemade soy bean lectin or in some commercial enzyme Q.C. kits for enzyme treated panels.

Arachis hypogea - available commercially or homemade peanut (Anti-T,-Tk,-Th) extract Dolichos biflorus - routine blood bank reagent lectin anti-A1 (anti-A1,-Tn,-Cad)

Polybrene - agglutinates normal red cells but not sialic acid deficient red cells.
 


I appreciate your feedback.
 
Eric
 

Comments

Comments
Blog post currently doesn't have any comments.
 Security code